Infinitesimi e
infiniti
Si dice che la funzione
è un
infinitesimo in
quando risulta:
![]()
![]()
Si dice invece che f è un infinito in
quando risulta:
![]()
In particolare:
f infinito positivo in
![]()
![]()
![]()
f infinito negativo in![]()
![]()
![]()
Confronto tra infinitesimi e infiniti.
Ordine di un infinito e di un infinitesimo
Siano assegnate due funzioni f(x) e g(x), infinitesime in
. Confrontare i loro infinitesimi
significa studiare il limite in
del
loro rapporto, ovvero il:
I casi
possibili sono i seguenti:
1) il limite è uguale a 0. Si dice allora che f è un infinitesimo di ordine superiore rispetto a g
2) il limite è uguale a
.Si
dice allora che f è un infinitesimo di ordine inferiore rispetto a g
3) il limite è finito e diverso da 0. Si dice allora che f e g sono infinitesimi dello stesso ordine. In particolare, se l=1 i due infinitesimi si dicono equivalenti
4) il limite non esiste. In tal caso diremo che i due infinitesimi non sono confrontabili.
In modo analogo ragioneremo se le due funzioni sono entrambe infinite in
![]()
In tal caso:
1) il limite è uguale a
. Si
dice allora che f è un infinito di ordine superiore rispetto a g
2) il limite è uguale a 0.Si dice allora che f è un infinito di ordine inferiore rispetto a g
3) il limite è finito e diverso da 0. Si dice allora che f e g sono infiniti dello stesso ordine.
4) il limite non esiste. In tal caso diremo che i due infinitesimi non sono confrontabili.
NOTAZIONE DI LANDAU
Se f e g sono infinitesime in
e se risulta:
=0 , per esprimere
che f è infinitesimo di ordine superiore rispetto a g si può scrivere:
(si legge: f o
piccolo g)
La stessa scrittura, riferita a due infiniti, significa che f è infinito di ordine inferiore rispetto a g.
Definiamo ora cosa si intende per ordine di infinitesimo ( di infinito) di una funzione. Per determinarlo occorrerà confrontare la nostra funzione con un’altra, indichiamola con u(x),scelta come infinitesimo ( infinito) campione.
Se risulta:
con
>0
diremo che f(x) è un infinitesimo ( infinito)di ordine
.
Può naturalmente accadere che non esista alcun numero reale
tale che f sia infinitesimo in![]()
di ordine
. In particolare
diremo che f(x) è un infinitesimo di ordine infinitamente grande quando,
qualunque sia
, f è di ordine
maggiore di
. Diremo invece che è
un infinitesimo di ordine infinitamente piccolo quando, qualunque sia
, f è di ordine minore di
.
Si verifica facilmente che:
Se f è un infinitesimo in
,
è un infinito in
, e viceversa.
Se f è di ordine maggiore, uguale o minore di
, anche
è dello stesso ordine.
Nella scelta degli infinitesimi campione, u(x), ci orienteremo così:

Invece, per gli infiniti campione:

Infinitesimi equivalenti
Abbiamo detto che due infinitesimi sono equivalenti se risulta:

In tal caso scriveremo: f equiv g, ovvero:
Nel caso in cui risulti:
![]()

chiameremo parte principale di f rispetto a g il prodotto:
![]()
Evidentemente allora:
![]()
Ad esempio, poiché:

Sono utili allo scopo del calcolo dei limiti le proposizioni seguenti:
1) ![]()
![]()
2) 
3) 
4) Aggiungendo o sottraendo ad un infinitesimo f un infinitesimo di ordine superiore, si ottiene un infinitesimo equivalente ad f.
Aggiungendo o sottraendo ad un infinito f un infinito di ordine inferiore, oppure una funzione limitata, si ottiene un infinito equivalente ad f.
5) 
INFINITESIMI ED INFINITI NOTEVOLI
Al tendere di x verso 0(
)
, l’infinitesimo ( l’infinito)
![]()
Al tendere di x verso 0, gli infinitesimi
, tg x,
arcsen x, arctg x, log(x+1),
,
sono tutti equivalenti all’infinitesimo x e quindi sono tutti di ordine 1
Per
e quindi 1- cos x è
un infinitesimo di ordine 2;
ed è un infinitesimo del primo ordine;
, infinitesimo di ordine 1;
, infinitesimo di ordine 1;![]()
Al tendere di x verso
l’infinitesimo
o infinito
è di ordine
infinitamente grande ( e quindi non è dotato di ordine)
Al tendere di x verso 0 ( o verso
) l’infinito
è di ordine infinitamente
piccolo
( quindi non è dotato di ordine)
E’ facile inoltre verificare che:
Siano a e b due numeri reali > 1 e si abbia. a>b. Allora al tendere di x
verso
( ovvero verso -
)
il primo dei due infiniti è di ordine superiore rispetto al secondo;
Qualunque sia
, per x che
tende a 0 l’infinitesimo
è di
ordine minore di r , ma maggiore di
,
, sicché tale infinitesimo
non è dotato di ordine
,
l’infinitesimo
è di ordine minore di r , ma
maggiore di
,
, sicché tale infinitesimo
non è dotato di ordine;
![]()
l’infinito
è di ordine maggiore di r,
nonché di ordine minore di ![]()
,
sicché tale infinito non è dotato di ordine;
Siano f e g due infinitesimi in
, oppure infiniti. Se f e g
sono dello stesso ordine, allora
sono equivalenti;
Sia f un infinito positivo in
. Se f è dotato di ordine,
allora l’infinito
è di ordine
infinitamente grande.
ESEMPI ED APPLICAZIONI
Al tendere di x verso 0 si ha che:
![]()
E, in modo analogo:

Sono inoltre valide le seguenti uguaglianze:


Per le proprietà delle funzioni composte:

Al tendere di x verso ∞ si ha che:

TEOREMI SUI LIMITI CHE SI PRESENTANO
IN FORMA INDETERMINATA
Forme indeterminate 
Siano:


Poiché il numeratore è equivalente a

Il limite proposto è uguale al seguente:

E, analogamente:

FORMA INDETERMINATA 0*∞
Sussistono le proposizioni seguenti:
1)Siano 
Se esiste uno dei limiti:
![]()
allora esiste anche l’altro e i due limiti sono uguali.
2) Sia f un infinitesimo in
e g un infinito in
.
Se f è di ordine r e g di ordine minore di r,allora risulta:
![]()
relazione che sussiste anche se g è di ordine r e f di ordine maggiore di r.
3) Siano f un infinitesimo in
e
un infinitesimo o un infinito in
. Se f e
sono dotati di ordine , risulta:
![]()
Si voglia ad esempio calcolare il limite:

Per la proposizione 3):

i due infinitesimi a primo membro sono dotati di ordine, sicché il limite proposto è uguale a 0.
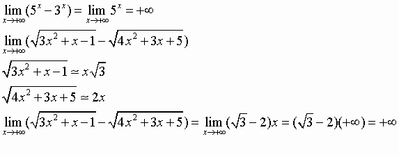
FORMA INDETERMINATA +∞-∞
Sussiste la proposizione:
Siano f e g infiniti positivi in
, sicché il limite
(*)
si presenta nella forma indeterminata +∞ -∞
Se in
f è di
ordine superiore rispetto a g, allora il limite esiste ed è +∞.
Se, detto
un
infinito positivo in
risulta:
![]()
con
, allora il
limite (*) è uguale a ![]()
Negli altri casi occorrerà procedere con opportuni artifizi.
Esempio:

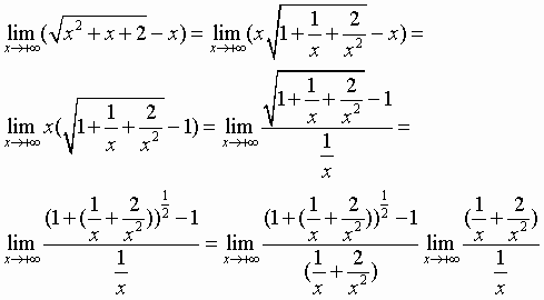
Osserviamo infine il seguente limite, al quale non sono applicabili le precedenti proposizioni:
![]()
Si può procedere razionalizzando. Ma vi è anche un altro elegante procedimento:

